Commenti: 0
Nel III trimestre del 2015 si consolida la ripresa del mattone, +10,3% la compravendita di case (scarica nota Omi)
autorizado

Dopo il buon risultato del II trimestre 2015, nel terzo trimestre si consolida la ripresa del mercato immobiliare. Secondo la nota Omi dell'Agenzia delle Entrate, le compravendite sono salite dell'8,8% rispetto allo scorso anno. La miglior performance è stata quella del settore residenziale, con un rialzo del 10,8% e 105.104 abitazioni vendute.

Dati sule compravendite immobiliari in Italia

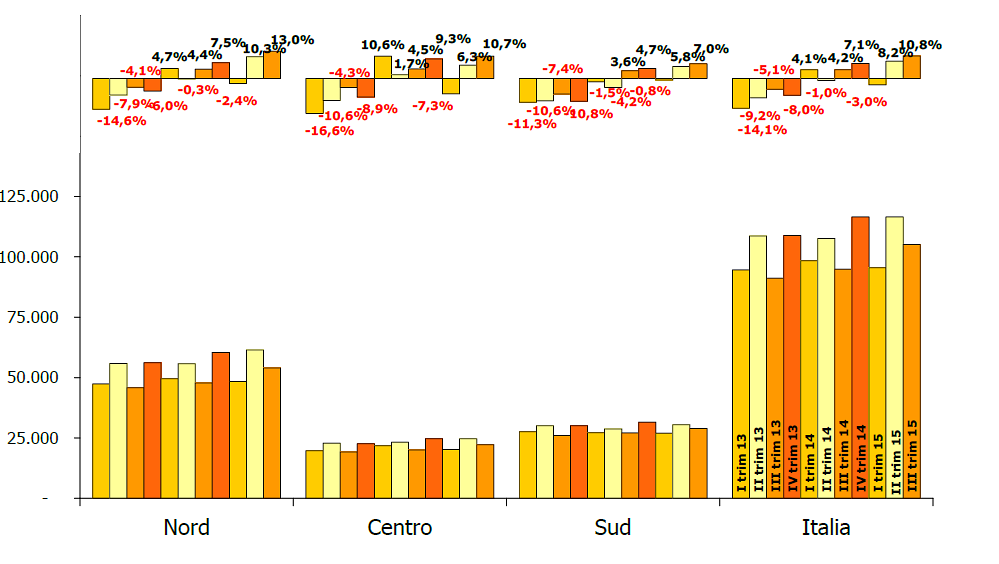
Andamento delle compravendite residenziali

Nonostante il terzo trimestre sia tradizionalmente il più debole dell'anno, per essere il periodo estivo, il numero di case vendute rispetto al terzo trimestre del 2014 è aumentato di oltre 10mila unità attestandosi a 105mila. In numero assoluto si tratta di una quota minore rispetto al II trimestre, quando il numero di abitazioni vendute era stato di 116.514mila, con un +8% rispetto allo scorso anno. Analogamente, nel trimestre analizzato, crescono del 9% gli scambi di cantine, box e posti auto, con 80.178 compravendite

Per quanto riguarda l'andamento per macro aree geografiche, le compravendite di abitazioni sono cresciute su tutto il territorio nazionale, con il Nord che ancora una volta fa registrare i risultati migliori. Nelle regioni settentrionali con quasi 54mila abitazioni compravendute, il tasso tendenziale di crescita è quasi doppio rispetto alle regioni del Sud, +13% contro +7%. Nel centro Italia il rialzo del mercato residenziale (10,7%) è invece in linea col dato medio nazionale.

Nel III trimestre del 2015 si consolida la ripresa del mattone, +10,3% la compravendita di case (scarica nota Omi)

I settori non residenziali

Per quanto riguarda l'andamento dei settori non residenziali, il rialzo maggiore si è registrato nel commerciale (+7,4%), anche se inferiore di tre punti percentuali rispetto a quello ottenuto nel II trimestre 2015. Più modesti i risultati ottenuti dagli altri due comparti (+2,2% il produttivo, +0,9% il terziario)

Analizzando l'andamento delle compravendite nei settori non residenziali dal 2004 ad oggi, si nota che sono i settori commerciale e terziario ad aver sofferto più la crisi, con un mercato degli scambi più che dimezzato rispetto a inizio periodo mentre la perdita subita dal settore produttivo è quantificabile in poco meno del 40%

Nel III trimestre del 2015 si consolida la ripresa del mattone, +10,3% la compravendita di case (scarica nota Omi)

 

Scarica la Nota Omi

Vedi i commenti (0) / Commento

per commentare devi effettuare il login con il tuo account