Facebook X Whatsapp Email Commenti: 1 Redazione 10 Giugno 2011, 10:53 Facebook X Whatsapp Email Vedi i commenti (1) / Commento1 Commenti: Si stanno tutti male....ma è evidente che la situazone è di stabilità a nord e centro ed è drammatica al sud, che associata ai dati sul pil non fà prevedere nulla di buono, forse solo il nord potrebbe tornare a crescere o almeno a rimanere stabile.Rispondiper commentare devi effettuare il login con il tuo accountEtichetteImmagine del giornoRicevi le ultime notizie La tua email Newsletter giornaliera Newsletter settimanale Mercato di lusso (mensile) Accetta la politica sulla privacy Ricevi informazioni su immobili, notizie e altre comunicazioni promozionali da idealista, id/mutui, id/seguros, Avaibook, BDMI e Rentalia. Ricevi le nostre ultime notizie nella tua email Iscriviti
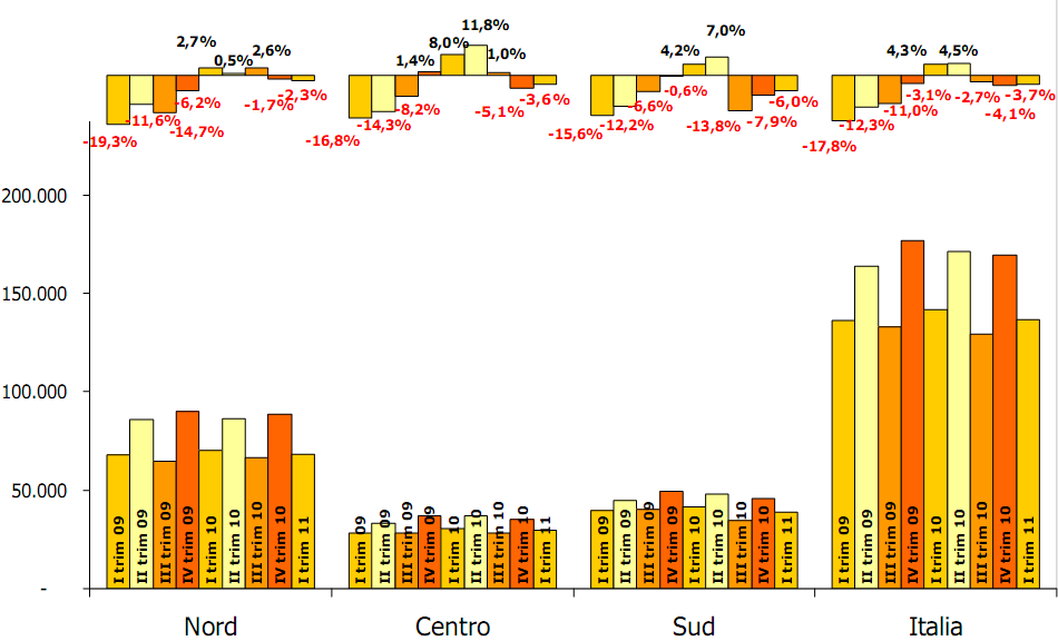
Si stanno tutti male....ma è evidente che la situazone è di stabilità a nord e centro ed è drammatica al sud, che associata ai dati sul pil non fà prevedere nulla di buono, forse solo il nord potrebbe tornare a crescere o almeno a rimanere stabile.Rispondi
1 Commenti:
Si stanno tutti male....ma è evidente che la situazone è di stabilità a nord e centro ed è drammatica al sud, che associata ai dati sul pil non fà prevedere nulla di buono, forse solo il nord potrebbe tornare a crescere o almeno a rimanere stabile.
per commentare devi effettuare il login con il tuo account