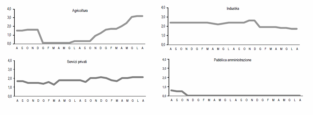
Facebook X Whatsapp Email Commenti: 1 Redazione 25 Settembre 2013, 11:18L'andamento delle retribuzioni collettive orarie per settoreClicca sull'immagine per ingrandirla Articolo visto suIstat Facebook X Whatsapp Email Vedi i commenti (1) / Commento1 Commenti: Welfare per le partite iva Attivazione del decreto 201 del 2011 1 gennaio 2012-Rispondiper commentare devi effettuare il login con il tuo accountEtichetteImmagine del giornoRicevi le ultime notizie La tua email Newsletter giornaliera Newsletter settimanale Mercato di lusso (mensile) Accetta la politica sulla privacy Ricevi informazioni su immobili, notizie e altre comunicazioni promozionali da idealista, id/mutui, id/seguros, Avaibook, BDMI e Rentalia. Ricevi le nostre ultime notizie nella tua email Iscriviti
1 Commenti:
Welfare per le partite iva
Attivazione del decreto 201 del 2011
1 gennaio 2012-
per commentare devi effettuare il login con il tuo account