Commenti: 0

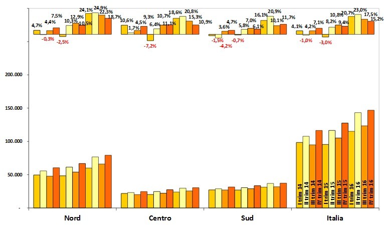
La Nota trimestrale Omi relativa al quarto trimestre 2016 mostra l’andamento del mercato residenziale per macro aree geografiche.

Immagine del giorno: l’andamento del mercato residenziale per macro aree geografiche
Agenzia delle Entrate
Vedi i commenti (0) / Commento

per commentare devi effettuare il login con il tuo account