Commenti: 22
Agenzia delle entrate, la compravendita di abitazioni cala del 5,1% nel terzo trimestre 2013 (scarica pdf)

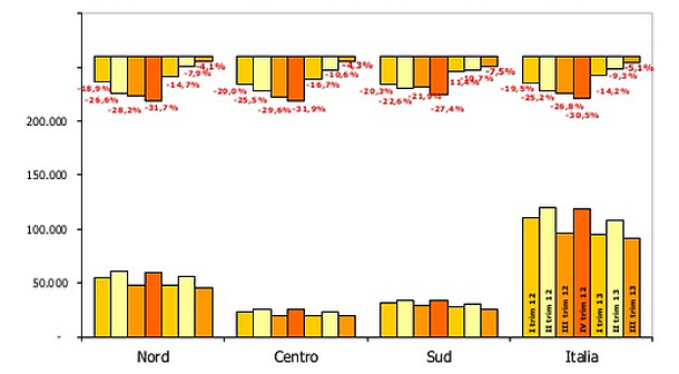
Continua il calo del settore immobiliare nel terzo trimestre dell'anno, sebbene con un tasso inferiore a quello registrato nei periodi precedenti. Secondo la nota trimestrale dell'agenzia delle entrate nel iii trimestre del 2013 si sono compravendute 91.051 abitazioni, con una discesa del 5,1% rispetto all'analogo periodo del 2012

La flessione riguarda tutto il settore immobiliare con 6,6% di transazioni in media rispetto al terzo trimestre del 2012. Il calo maggiore riguarda il terziario (-11,75) mentre il settore residenziale registra la variazione negativa minore (-5,1%)

Ancora presto per parlare di ripresa
La compravendita delle abitazioni rallenta quindi la sua caduta, ma non si può parlare di una ripresa del settore, forse di una piccola inversione di tendenza. Non bisogna infatti dimenticare che la variazione negativa del 5,1% si somma al -14,2% registrato nell'analogo periodo dell'anno scorso. Guardando i dati relativi al numero delle transazioni poi si nota come il numero di transazioni (91.051) è inferiore a quello del primo (94.503mila) e del secondo trimestre (108.618 mila)

Agenzia delle entrate, la compravendita di abitazioni cala del 5,1% nel terzo trimestre 2013 (scarica pdf)

Macroaree
In tutte le macroaree geografiche si registra un rallentamento delle perdite. I ribassi più contenuti si riscontrano al nord (-4,1) e al centro (-4,3%), mentre al sud il calo risulta più alto (-7,5%) rispetto alla media nazionale

Agenzia delle entrate, la compravendita di abitazioni cala del 5,1% nel terzo trimestre 2013 (scarica pdf)

 

 


 

Scarica il rapporto completo

 

Vedi i commenti (22) / Commento

22 Commenti:

21 Novembre 2013, 14:00

Un calo rispetto al dato già straordinariamente negativo del 2012!!!

Non c'è fine al crollo

21 Novembre 2013, 14:09

Pensa non c'era la ripresa!!!

21 Novembre 2013, 14:23

Auguri !

22 Novembre 2013, 18:42

Bé, sinceramente mi fa specie che proprio una delle maggiori cause delle mancate vendite, divulghi una notizia scontata come questa:
Per chi non lo sapesse, oltre al problema delle banche che non prestano soldi, della crisi immobiliare, del fatto che le persone non possono sostenere più le rate di mutuo, e del gran numero di persone senza lavoro, infine c'è anche il problema che " ogni e qualsivoglia operazione immobiliare di acquisto, viene comunque matematicamente controllata dall'agenzia delle entrate, probabilmente con una verifica a carico dell'acquirente stesso".
Ora, ammesso che qualcuno abbia da parte dei risparmi, abbia la voglia di investire ancora su un appartamento (e non ha nemmeno bisogno di un mutuo ) vi assicuro che c'è tanta, ma tanta gente che ha resistito all'acquisto semplicemente per non avere il problema della verifica. E non è vero che si tratta di persone che hanno qualcosa da nascondere, perché anche se non c'è niente da nascondere o da temere, una verifica non fa piacere a nessuno ( sappiamo benissimo che comunque anche se si è perfettamente in regola, una verifica senza nemmeno un euro di multa non è mai esistita ).
Quindi é inutile che il lupo pianga per essersi mangiato l'agnello.

22 Novembre 2013, 18:57

In reply to by anonimo (not verified)

Il blocco delle vendite, specie per la fascia di immobili sopra il milione di euro, è dovuto proprio agli accertamenti dell'agenzia delle entrate successivi all'acquisto! stessa cosa per il mercato delle supercar dove superbollo e accertamenti hanno di fatto bloccato quasi totalmente le vendite. Quanti euro in meno incassa lo stato per queste assurde decisioni? sembra che chi ci governa abbia come unico interesse riempirsi le tasche ed affossare l'economia

23 Novembre 2013, 9:18

In reply to by Armando (not verified)

Non ti preoccupare! che lo stato quelle tasse le rimedia lo stesso applicando lo 0,20% di bollo sui depositi bancari

25 Novembre 2013, 20:46

In reply to by anonimo (not verified)

Credo che tu abbia centrato perfettamente il problema.
Non si tratta diessere evasori, c'è tantissima gente che ha fatto sacrifici enormi insieme a tutta la famiglia con profonde rinunce e magari ha una macchina da ventanni riuscendo a creare un risparmio che se non stiamo a ttenti....... dobbiamo dimostrare la provenienza dei nostri sacrifici, ma dove erano questi signori quando molte persone mangiavano pane e cipolla??????????? per risparmiare.
Con queste restrizioni stanno distruggendo la nostra economia,io sono del parere di lasciare libera la gente di investire e comprare qualsiasi cosa, in questo modo lo stato ne trarrebbe grandi vantaggi con la tassazione di questi beni, cosa che non ottiene perchè le famiglie hanno paura del fisco e preferiscono aspettare tempi migliori.
Lo stato cosa ci quadagna???????????'

22 Novembre 2013, 19:50

Letta e Saccoballe necessitano dell'alcooltest.
L'agenzia delle entrate di un contabile che abbia fatto almeno la terza media: calcolando i milioni di compravendite in meno di questi ultimi anni e moltiplicandole per le imposte di registro o l'iva che hanno perso, dovrebbero dire che non capiscono nulla: più alzi le tasse sulla casa e dintorni, meno lo stato incassa.
Elementare. Ma non ci arrivano.

22 Novembre 2013, 19:50

Letta e Saccoballe necessitano dell'alcooltest.
L'agenzia delle entrate di un contabile che abbia fatto almeno la terza media: calcolando i milioni di compravendite in meno di questi ultimi anni e moltiplicandole per le imposte di registro o l'iva che hanno perso, dovrebbero dire che non capiscono nulla: più alzi le tasse sulla casa e dintorni, meno lo stato incassa.
Elementare. Ma non ci arrivano.

22 Novembre 2013, 19:50

Letta e Saccoballe necessitano dell'alcooltest.
L'agenzia delle entrate di un contabile che abbia fatto almeno la terza media: calcolando i milioni di compravendite in meno di questi ultimi anni e moltiplicandole per le imposte di registro o l'iva che hanno perso, dovrebbero dire che non capiscono nulla: più alzi le tasse sulla casa e dintorni, meno lo stato incassa.
Elementare. Ma non ci arrivano.

per commentare devi effettuare il login con il tuo account