Il mercato immobiliare chiude in positivo per il terzo anno consecutivo. Nel 2016 sono stati compravenduti oltre 1 milione di immobili, un risultato che non veniva raggiunto dal 2011. Di questi oltre la metà (528.865) di edifici venduti sono abitazioni. Il settore residenziale è cresciuto infatti del 18,9% rispetto al 2015, mentre l'aumento registrato nel IV trimestre dell'anno appena trascorso è del 15,2%.
Oltre un milione gli immobili compravenduti
Secondo la nota trimestrale dell'Agenzia delle Entrate relativa al IV trimestre del 2016, nell'ultimo periodo dell'anno si sono compravenduti oltre 326.141 immobili (+16,4% rispetto al IV trim del 2015), mentre il saldo totole dell'anno è pari a 1.141.012, una cifra che non si raggiungeva dal 2011.
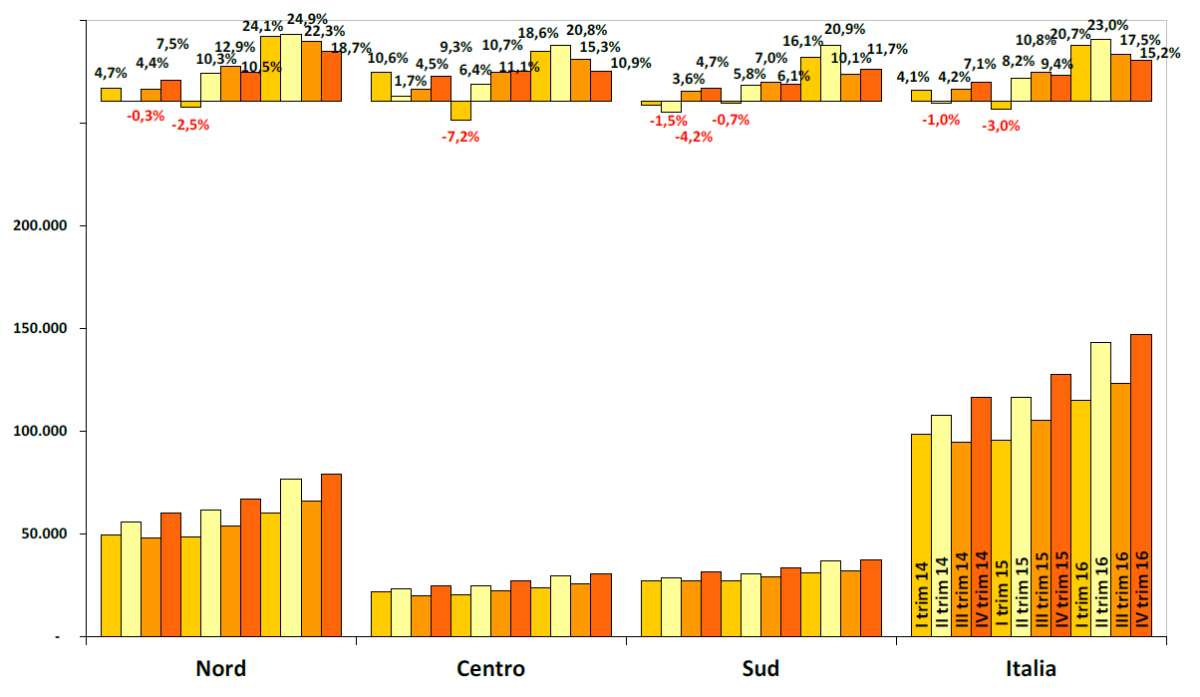
Più della metà degli immobili compravenduti nel corso dello scorso anno (528.865) sono abitazioni, con una crescita del 18,9% rispetto all'anno precedente. Il quarto trimestre registra una crescita di 15,2 punti percentuali, con un tasso di crescita in decelerazione rispetto a quelli dei trimestri precedenti.

Analizzando l'andamento del mercato residenziale per macroaree geografiche si vede anche nell'ultimo trimestre dell'anno, a trainare il settore è il Nord (+18,7%), con 7-8 punti percentuali in più rispetto alle altre due macro aree. Si può notare, in ogni caso, un rallentamento dei tassi di crescita nella seconda parte dell'anno.

La forte crescita delle compravendite di abitazioni, registrata a livello nazionale, si presenta in forma sostanzialmente omogenea anche andando a distinguere il mercato dei capoluoghi da quello dei comuni minori. Nell'ultimo trimestre i capoluoghi crescono nell’ultimo trimestre 2016 del 13,2%, 3 punti percentuali in meno rispetto agli altri comuni, il cui mercato ha dimensioni ben superiori, soprattutto al Nord e al Sud.
per commentare devi effettuare il login con il tuo account